الموقع التخصصى فى الرياضيات للثانوية العامة

الموقع التخصصى فى الرياضيات للثانوية العامة (https://www.alyeldeen.com/vb/index.php)
-   سؤال وجواب التفاضل والتكامل (https://www.alyeldeen.com/vb/forumdisplay.php?f=90)
-   -   مسألة على تطبيقات المشتقة (https://www.alyeldeen.com/vb/showthread.php?t=1168)

unusualboy9999 02-19-2011 07:48 PM

مسألة على تطبيقات المشتقة
 
سلك طوله 2ل صنع منه مثلث قائم الزاوية،أوجد ابعاد المثلث التى تجعل مساحته اقل ما يمكن

مسعوداا 02-19-2011 11:23 PM

رد: مسألة على تطبيقات المشتقة
 
شكرااااااااااااااااا كثيراااااااااااااااااااااااااااااااااااااااا

مهيب الأرنؤوطى 02-22-2011 10:44 AM

رد: مسألة على تطبيقات المشتقة
 
http://alyeldeen.com/vb/progs4u/misc...t-top-left.gifاقتباس:http://alyeldeen.com/vb/progs4u/misc...-top-right.gifhttp://alyeldeen.com/vb/progs4u/misc...ot-by-left.gifالمشاركة الأصلية كتبت بواسطة unusualboy9999http://alyeldeen.com/vb/progs4u/misc...t-by-right.gifhttp://alyeldeen.com/vb/progs4u/misc...p-right-10.gif سلك طوله 2ل صنع منه مثلث قائم الزاوية،أوجد ابعاد المثلث التى تجعل مساحته اقل ما يمكن http://alyeldeen.com/vb/progs4u/misc...t-bot-left.gifhttp://alyeldeen.com/vb/progs4u/misc...-bot-right.gif

لعلمك الخاص تلك المسألة لن يأتي مثلها في امتحان آخر العام علي الإطلاق، ولكنني سوف أقوم بحلها لك إن شاء الله اليوم، وهذا إضافة إلي معلوماتك ليس أكثر ولا أقل.

مهيب الأرنؤوطى 02-22-2011 07:04 PM

رد: مسألة على تطبيقات المشتقة
 

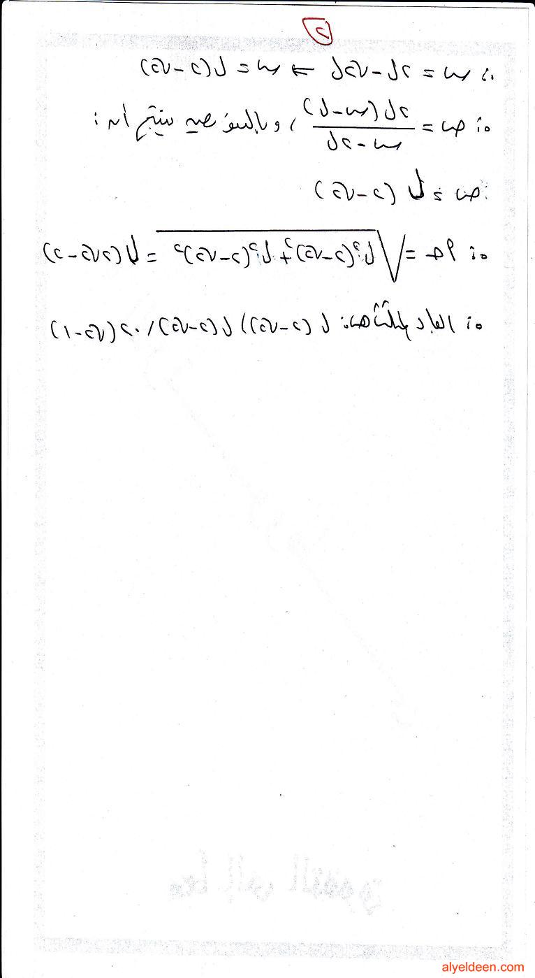
مهيب الأرنؤوطى 02-22-2011 07:06 PM

رد: مسألة على تطبيقات المشتقة
 
عفواً، البعد الأخير هو 2ل(جذر 2-1)

unusualboy9999 02-22-2011 11:45 PM

رد: مسألة على تطبيقات المشتقة
 
متشكر جدا ع الحل
المسألة فى كتاب الوزارة

مهيب الأرنؤوطى 02-23-2011 12:06 AM

رد: مسألة على تطبيقات المشتقة
 
http://alyeldeen.com/vb/progs4u/misc...t-top-left.gifاقتباس:http://alyeldeen.com/vb/progs4u/misc...-top-right.gifhttp://alyeldeen.com/vb/progs4u/misc...ot-by-left.gifالمشاركة الأصلية كتبت بواسطة unusualboy9999http://alyeldeen.com/vb/progs4u/misc...t-by-right.gifhttp://alyeldeen.com/vb/progs4u/misc...p-right-10.gif متشكر جدا ع الحل
المسألة فى كتاب الوزارة

http://alyeldeen.com/vb/progs4u/misc...t-bot-left.gifhttp://alyeldeen.com/vb/progs4u/misc...-bot-right.gif

فعلاً هى في كتاب الوزارة ولكن هذا لا يغير مما قلته شيئاً ، إن بعض المسائل التي تأتي من كتاب الوزارة في امتحان آخر العام تكون للطلاب المتميزين فقط وتأتي في سؤال اختياري وليست في السؤال الإجباري، فعلي من يرغب في الإجابة عنه فله ذلك وعلي من لا يرغب فمن حقه أن يتركه ويقوم بحل سؤال آخر...

أما إذا جاء في الإمتحان جزئيتين من هذا النوع فحينئذ سوف يشكو جميع الطلاب من صعوبة الإمتحان ويكون التصحيح في صف الطالب ومن الممكن أن تلغي درجة السؤال وتوزع علي الأسئلة الأخري....

mab4math 02-24-2011 01:24 AM

رد: مسألة على تطبيقات المشتقة
 
لكن أستاذي الفاضل / مهيب
بدلاً من أن نقول للطالب أن هذه المسائل صعبة ، لماذا لا نراسل مؤلفي هذه الكتب المدرسية ( المحبطة للجميع ) حتى تكون مثل الملخصات (الكتب الخارجية) وتكون المسائل مقسمة مستويات ويكون معها جميعاً الإجابة النموذجية لكل الأسئلة بدل ما الطالب يلف حول نفسه وقد يجد أو لايجد الاجابة.

مهيب الأرنؤوطى 02-24-2011 04:29 PM

رد: مسألة على تطبيقات المشتقة
 
http://alyeldeen.com/vb/progs4u/misc...t-top-left.gifاقتباس:http://alyeldeen.com/vb/progs4u/misc...-top-right.gifhttp://alyeldeen.com/vb/progs4u/misc...ot-by-left.gifالمشاركة الأصلية كتبت بواسطة mab4mathhttp://alyeldeen.com/vb/progs4u/misc...t-by-right.gifhttp://alyeldeen.com/vb/progs4u/misc...p-right-10.gif لكن أستاذي الفاضل / مهيب
بدلاً من أن نقول للطالب أن هذه المسائل صعبة ، لماذا لا نراسل مؤلفي هذه الكتب المدرسية ( المحبطة للجميع ) حتى تكون مثل الملخصات (الكتب الخارجية) وتكون المسائل مقسمة مستويات ويكون معها جميعاً الإجابة النموذجية لكل الأسئلة بدل ما الطالب يلف حول نفسه وقد يجد أو لايجد الاجابة.
http://alyeldeen.com/vb/progs4u/misc...t-bot-left.gifhttp://alyeldeen.com/vb/progs4u/misc...-bot-right.gif

لا تنس يا أستاذنا الفاضل أن التعليم في مصر ما زال أكاديمياً صرفاً يخضع للروتين والتلقين وقلما يوجد بحث علمي في مصر، فالسياسة هنا سياسة عليا لا تستجيب لأي مقترحات أو مناقشات، هذا أولاً

أما ثانياً: يجب ألا توضع إجابات لجميع المسائل كا تقترح أنت، وذلك حتي يكون هناك كد وجهد وعناء للوصول إلي المعلومة، إذ أن الذي يأتي سهلاً يفقد قيمته تماماً، ولكن الذي يأتي عن طريق الاجتهاد والبحث يكون دائماً هو الأكثر قيمة والأكثر جدية والأكثر إبداعاً...

الاستاذ على الدين يحيى 02-24-2011 05:44 PM

رد: مسألة على تطبيقات المشتقة
 
أحب أن أضيف أن بعض تمارين كتاب الوزارة وكذلك دليل التقويم ليس لها علاقة بامتحانات الطالب بالفعل !! وقد ناقشنا الاستاذ أسامة زين ( مستشار الرياضيات بالوزارة ) فأجاب أن هذه التمارين وضعناها لكى يتناقش فيها المعلمون فقط وليس للطالب وعندما طلبنا منه توضيح هذه المعلومة داخل الكتاب أو الدليل حتى لا ينزعج منها الطلاب ، أجاب : لا يجب فعل ذلك لأننا نكون قد حرمنا الطالب المتفوق من التفكير فيها
وعموماً يجب على الطالب أن يضع ثقته كاملة فى معلمه
شكراً للجميع
وشكر خاص للأستاذ الفاضل / مهيب على جهده الكبير وعلمه الغزير


الساعة الآن 06:27 AM

جميع الحقوق محفوظة للمنتدي
لا اله الا الله محمد رسول الله